Product Search:

|
English Name |
Polyinosinic–polycytidylic acid sodium salt(Poly I:C) |
|
English aliases |
Poly I:C sodium salt |
|
CAS No. |
42424-50-0 |
|
Molecular formula |
(C19H21N7O14P2Na2)n |
|
Molecular weight of residue |
679.4 |
|
Sedimentation coefficient |
>4s |
|
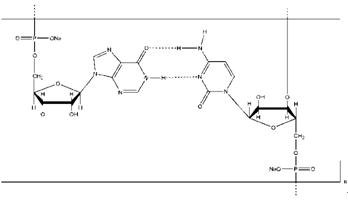
Structural formula |
|
|
Physical properties |
This product is a white to off-white powder, freely soluble in water, insoluble in ethanol and ether. 在PH7.2条件下,λmax=266nm±2nm; λmin=231 nm±2nm。 Under the condition of PH7.2,λmax=266nm±2nm; λmin=231 nm±2nm. 增色效应不低于55.0%。 Hyperchromic effect at 248 nm should be not less than 55.0% |
|
Assay |
≥50% |
|
Usage |
1、Application of human medicine: This product is an interferon inducer.Interferon induced by cell in vivo, the interferon effect on normal cells to produce anti-viral protein factor (AVF), thereby interfering with viral reproduction, protecting uninfected cells from viral infection. Therefore, this product has anti-viral, anti-tumor, and enhance immune function of lymphocytes and inhibition of nucleic acid metabolism effect. Clinic for chronic hepatitis B, epidemic hemorrhagic fever, epidemic encephalitis B, viral keratitis, herpes zoster, a variety of warts and respiratory infections. 2、Application of veterinary:mainly used in the prevention and treatment of poultry, livestock viral diseases. 2.1、It can be used with many drugs.When it compatibility with APS, levamisole or ribavirin , there are obvious synergies; Compatibility with some antibiotics,there have a synergistic or additive effect.When it is added in many varieties of flour, powder, etc,there has a significant role in improving the efficacy of existing products, but does not interfere with the detection of the original product; This product has no species specificity, and can be widely used on poultry, pigs, cattle and other animals . 2.2、As a vaccine adjuvant, when it is used with the vaccine simultaneously, can play to make up the immune blank period, relieve stress reaction of vaccines, enhance the role of the immune effects; drug residues can be avoided or reduced. 2.3、As a broad-spectrum antiviral drugs, it can be used: Chicken: infectious bronchitis, infectious laryngotracheitis, Newcastle disease, influenza, bursal disease, chicken pox. Duck: duck plague, duck viral hepatitis. Pigs: Pigs unnamed high fever (PRRS variants), PCV, PRRS, porcine reproductive and respiratory syndrome, porcine viral diarrhea, atypical swine fever. |
|
Packing size |
500g/bag |
|
Storage |
Keep dry and away from light, sealed storage in - 20 ℃ |

Street Address: Renhe Avenue, Renhe Street, Yuhang District,City: Hangzhou
Tel:+86-571-8522 7892
Mobile:+86-15068733634
E-mail:zhijusw@163.com
Fax:+86-571-8522 7892